Kornkreis in Zevenbergen, Holland, entdeckt von Robbert van den
Broecke, am 15. Juni 2015
Es ist die sechste holländische
Formation in 2015. Robbert van de Broecke konnte zwar im Voraus eine
Skizze anfertigen, er hatte aber zu dieser funktionalen Geometrie
keine Botschaft erhalten. Es stellte sich jedoch, wie man nachlesen
kann, bei den beteiligten Personen, die in die Entdeckung involviert
waren, ein seltsames Wärme- und Hitzeempfinden ein.
It is
the sixth Dutch
formation in
2015. Robbert
van de
Broecke could
make a sketch in advance
but he had not received a
message to this
functional geometry.
It turned, however, that
the persons who were involved
in the discovery,
had a strange sensation
of heat.
Die Figur wirkt sehr harmonisch
und fußt in erster Näherung auf Gleichseitigem Dreieck, Quadrat und
Sechseck, aus deren Zusammenwirken eine Ellipse gebildet wurde.
The
figure looks very
harmonious and is
based in a first
approximation to
an equilateral triangle, a square
and a hexagon,
from its interaction
an ellipse was formed.
Wir kennen die Symboliken, die
auf diese einfachen Polygone Bezug nehmen aus vielen Kulturen der
Vergangenheit. Neu ist bisher, dass sie dazu verwendet werden eine
Ellipse zu definieren. Wir werden sehen, dass dies mit diesem
Kornkreis auf überraschend einfache Weise gelungen ist.
We know the
symbolism that
refer to these simple
polygons from many
cultures of the past. It
is new that it has been used to define
an ellipse. We
will see that this has
been achieved with this
crop circle in a
surprisingly simple manner.
Ich verwende zur Rekonstruktion
eine Luftaufnahme von Yvonne und Robbert van den Broecke, die eine
perfekte perspektivische Entzerrung bietet.
For reconstruction
I used
an aerial photograph of
Yvonne and
Robbert van
den Broecke, who
offers a perfect
perspective equalization.
Zum Verständnis sollte der
Leser einen Blick auf die folgende Ellipsendefinition wagen
(Abbildung 1a).
For better understanding the
reader should dare a glance
at the following picture of an ellipse definition (Figure 1a).
Um eine Ellipse aufzumalen
braucht man zwei Maße.
Die haben Breite der Ellipse:
(Große Halbachse a)
Die habe Höhe der Ellipse:
(Kleine Halbachse b)
To
paint an ellipse
you need two dimensions.
Half of the width of the
ellipse have: (major
axis a)
Half of the height of the ellipse
have: (minor axis
b)
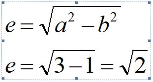
Die Exzentrizität e gibt die
Entfernung des Brennpunts von der Mitte aus an.
Würde man ein Licht in einen
Brennpunkt der Ellipse stellen, so würden sich alle Strahlen im
gegenüber liegenden Brennpunkt sammeln.
The eccentricity
e is
the distance from the
center of the
focus.
If you would put
a light
in a
focus of an ellipse, then
all the rays would
gather in the
opposite focus.

Abbildung SEQ Abbildung \*
ARABIC 1a
Uralte Symbole von Dreieck
und Quadrat und Sechseck bilden den Kornkreis
Ancient symbols
of
triangle and square
and
hexagon forms the crop circle

Abbildung SEQ
Abbildung \* ARABIC 2
Ich
habe den Radius des zentralen Kreis b=1 gesetzt, dadurch werden alle
anderen Maße sehr einfach (Abbildung 2).
I have
set the
radius of the central
circle b =
1, this will remain all
other dimensions
very simple (Figure 2).
Der
Mittelkreisradius ist kleine Ellipsenachse b=1. Er ist Inkreis eines
gleichseitigen Dreiecks (Abbildung 2).
The center circle radius
is small
elliptical axis b
=. 1 It
is inscribed
an equilateral triangle
(Figure 2).
Die
Dreiecksbreite (auch Sechseckbreite) ist große Halbachse a
=1,7321(Wurzel aus 3)
The
triangle width
(also wide of the
hexagon) is
semi-major axis a =
1.7321 (square
root of 3)
Die
Berechnung der Exzentrizität e wird denkbar einfach.
The calculation of the
eccentricity e is
very simple.
Die
Exzentrizität ergibt sich jedoch aus der Konstruktion auf natürliche
Weise, durch das einbeschriebene Quadrat (Abbildung 2).
Die Brennpunkte (Abstand
2e), liegen auf den Quadratseiten.
However, the
eccentricity resulting
from the construction
in a natural way, by the
inscribed square
(Figure 2).
The
focal points (distance
2e), lie on the
square sides.
Es
erschiene absurd, zu behaupten, eine Figur, die in ein Getreidefeld
gelegt wird, habe energetische Wirkungen. Der Erfahrung vieler
Kornkreisbesucher zufolge, scheinen Kornkreise diese Wirkung zu
haben. Ob es sich dabei immer um Placebo Effekte handelt vermag ich
nicht zu sagen. Ich denke aber, er spielt eine nicht zu
unterschätzende Rolle.
It
would seem absurd
to claim that a character
who is placed in
a cornfield,
have energetic
effects. Many
Crop Circle visitors
say that Crop Circles does have this effect.
Whether this is
always placebo
effects I
can not say.
But
I think he plays a
significant role.
In
vorliegenden Fall beschreiben alle beteiligten Personen ein
intensives Wärme- oder Hitze - Empfinden, das beim Betreten des
Kornkreises einsetzte.
In
the present case, all the
people involved describe
an intense heat or
heat -
feeling which began
when entering the crop
circle.

Abbildung SEQ
Abbildung \* ARABIC 3
In
Abbildung 3 habe ich blaue Strahlen gezeichnet. Sie alle beginnen im
linken Brennpunkt und enden in rechten Brennpunkt. Es sind Beispiele
einzelner Strahlengänge. Die Physik der Ellipse besagt, dass ein
Strahler, der in einem Brennpunkt platziert ist, alle seine Strahlen
im gegenüber liegenden Brennpunkt sammelt. Vorausgesetzt, die
Ellipse dient als Reflektor.
In
Figure 3
I have drawn
blue rays. They all start
at the left
focus and end up in
the right focus.
There are
examples of individual
beam paths. The
physics of the
elliptical states that a
radiator is
placed at a focal point,
all of its beams are
collected in the
opposite focal point.
Provided that the ellipse
is used as a reflector.

Abbildung SEQ
Abbildung \* ARABIC 4
Betrachtet man die Geometrie genauer (Abbildung 4), so stellt man
fest, dass die beiden Ellipsensegmente um ca. 3° gegeneinander
geneigt sind, Abbildung 4 und 5.
Considering the
geometry more precisely (Figure
4), it is found
that the two elliptical
segments are inclined at
about 3 ° to each other,
Figure 3
and 4.

Abbildung SEQ
Abbildung \* ARABIC 5
Wie
nun eine Lichtquelle reflektiert wird, die etwas unterhalb des
Brennpunkts platziert ist, das zeigt Abbildung 6.
Genau
dies geschieht durch die gegenseitige Neigung der Ellipsensegmente.
How a light source
that is placed a bit
outside of the focal point
of the ellipse will be
focused in the second focus point,
is shown in the following
figure 6.
Exactly this is happens by
the mutual inclination
of the ellipse segments.

Abbildung SEQ Abbildung \*
ARABIC 6
Die
Abbildung 6 stammt von:
http://physik.li/beispiele/Ellipsenkaustik/index.htm,
wo sie weitere Strahlengänge innerhalb von Ellipsen sehen können.
Besonders interessant die Animation, bei der die Lichtquelle
entlang der kleinen Halbachse,
http://physik.li/beispiele/Ellipsenkaustik/Kaustikbilder/Kaustik_anim_b.gif
und
entlang der großen Halbachse
http://physik.li/beispiele/Ellipsenkaustik/Kaustikbilder/Kaustik_anim_a.gif
verschoben wird.
The figure
comes from: http://physik.li/beispiele/Ellipsenkaustik/index.htm
where they can see more
beam paths within
ellipses.
Particularly interesting are the
animation in which the
light source
along the minor axis,
http://physik.li/beispiele/Ellipsenkaustik/Kaustikbilder/Kaustik_anim_b.gif
and along the
major axis
http://physik.li/beispiele/Ellipsenkaustik/Kaustikbilder/Kaustik_anim_a.gif
is moved.
Die
folgende Rekonstruktion in Abbildung 7 versucht allen geometrischen
Eigenheiten dieser funktionalen Geometrie gerecht zu werden.
Die Ellipsenbrennpunkte
wurden als Energiezentren dargestellt.
The
following reconstruction
in Figure
7 is trying
to satisfy all the
geometric characteristics
of this functional
geometry.
The
ellipse foci
were presented as energy
centers.
Die
davon ausgehenden Strahlen werden in den Ellipsensegmenten in das
Gegenzentrum reflektiert.
Die Zentren sind
gegeneinander geneigt.
The
emanating rays are reflected
in the
ellipse segments
in the
counter-center. The
centers are
inclined towards each other.

Abbildung SEQ
Abbildung \* ARABIC 7
Abbildung 8 zeigt alle Konstruktionslinien.
Figure 8 shows
all
construction lines.

Abbildung SEQ
Abbildung \* ARABIC 8
Die
Durchmesser der peripheren Kreise könnten wie in Abbildung 9 zu
sehen ist, gebildet worden sein.
The
diameter of the
peripheral circuits
could built up as shown
in Figure 9.

Abbildung SEQ Abbildung \*
ARABIC 9
Besonderheiten dieser
Geometrie, Abbildung 10.
Die einfache Differenz
Wurzel(3)-Wurzel(2) ergibt den Radius des großen Nebenkreises,
beiderseits der Ellipse. Er ist eine gute Näherung an den Kehrwert
der kreiszahl (1/PI). Dabei dient der Radius des zentralen Kreises
als Einheitswert.
Special features
of this geometry, see
Figure 10.
The simple
difference root
(3) – root (2)
gives the radius of the
large circle
at both sides of the
ellipse. He
is a good approximation
to the reciprocal
of the number pi (1/pi).
The radius of the central
circle serves
as the standard value.

Abbildung SEQ
Abbildung \* ARABIC 10
Die fünf peripheren Kreise
beiderseits des Zentralkreises wurden einerseits auf einem Kreis,
andererseits mit einem Faktor nahe pi/4 oder Wurzel(phi), immer
enger werdend platziert. Eine konstruktive
Lösung siehe Abbildung 11.
The
five peripheral
circles on both sides
of the central
circle were placed
on the one hand at a
circle, on the other hand
by
a factor
close to pi
/ 4
or root
(phi), always
placed closer to the next one.
A constructive
solution
see figure 11.
Abbildung SEQ Abbildung \*
ARABIC 11
Die schönsten Dreiecke aus
Platons Timaios Dialog
Most beautifull triangles of Plato's Timaeus dialogue
Der Kornkreis beruht im Prinzip auf der Geometrie des gleichseitigen
Dreiecks, des Quadrats und des Sechsecks. Zusammengesetzt, aus den
beiden "schönsten Dreiecken", das gleichschenkelige(halbes Quadrat),
das gleichseitige, wie Platon im Timaiosdialog schrieb.
The crop circle is based on the principle of the geometry of the
equilateral triangle, the square and the hexagon. Composed, from the
two "most beautiful triangles", the isosceles (half a square), the
equilateral, as Plato wrote in Timaiosdialog.
Der Musikalische Aspekt
The musical aspect
Die Eckenzahlen drei, vier und sechs, als Kettenbruch angeschrieben
(3:4:6), haben wir die folgenden Intervalle unserer Musik.
The corner numbers three, four and six, written as a continued
fraction (3: 4: 6), we have the following intervals of our music.
3:6 Oktav Intervall
(octave interval)
3: 4 quart interval (fourth
interval
4:6=2:3 Quint Intervall
(fifth interval)
Eine etwas anders geschriebene Tetraktys der Pythagoreer
A somewhat different written Tetraktys the Pythagoreans
1:2:3:4
1:2 wird zu 3:6
2:3 wird zu 4:6
Die Aliens informieren uns über Dinge, die wir seit Pythagoras, also
seit 2500 Jahren kennen.
The aliens tell us about things that we do, know for 2500 years
since Pythagoras time.
Wenn man die Pyramiden betrachtet, dann sind das eben diese
Proportionen, die wir dort vorfinden und sie orientieren sich
letztlich an den Kristallstrukturen.
Das Ganze hat also eine universelle Grundlage, die im ganzen Kosmos
die gleiche ist.
If you look at the pyramids, then we find these proportions there,
and they are based ultimately on the crystal structures.
The whole thing has a universal basis, which is the same in the
whole cosmos.
Das Quadrat
(The square)
https://de.wikipedia.org/wiki/Bismut#/me...cm3_Wuerfel.jpg
Das Dreieck
(The Trigon)
http://www.seilnacht.com/Minerale/tnwap.JPG
Das Sechseck
(The Hexagon)
http://www.kristallhaus.ch/contents/medi...-spitze-hde.jpg
Darstellungen und Texte,
R.U. Müller |